√6=2.4494897427832
算法:
√2=1.414,√3=1.732
√6=√2x√3
=1.414x1.732
=2.449048
≈2.449
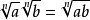
有以下计算公式:

成立条件:a≥0,n≥2且n∈N。

成立条件:a≥0, b≥0, n≥2且n∈N。

成立条件:a≥0,b>0,n≥2且n∈N。

成立条件:a≥0,b>0,n≥2且n∈N。

非负性
在实数范围内,
(1)偶次根号下不能为负数,其运算结果也不为负。
(2)奇次根号下可以为负数。
不限于实数,即考虑虚数时,偶次根号下可以为负数,利用【i=√-1】即可。
