解方程组的方法大致上有画图法、矩阵法、代入法、消元法等等。
1、代入法
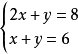
如要解决以下方程组︰
代入法求解过程是︰



然后把
代入到其中一条方程式里︰
所以它的解为:
2、画图法
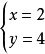
画图法就是把两条方程式画在图上,两线的交叉点就是解了。 如要解决以下方程组︰

首先要把要把它们画在图上︰

绿色为
红色为
两线的交叉点就是它们的解了:
3、消元法
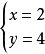
如要以消元法解决以下方程组︰
把两个方程式等号左右两边分别相减︰上式-下式得,
然后把
代入到其中一条方程式里︰


得出:
解二元一次方程组的基本思路
消元思想
“消元”是解二元一次方程组的基本思路。所谓“消元”就是减少未知数的个数,使多元方程最终转化为一元多次方程再解出未知数。这种将方程组中的未知数个数由多化少,逐一解决的解法,叫做消元解法。
消元方法一般分为:代入消元法,简称:代入法 ;加减消元法,简称:加减法 ;顺序消元法 ;整体代入法。
代入消元法
将方程组中一个方程的某个未知数用含有另一个未知数的代数式表示出来,代入另一个方程中,消去一个未知数,得到一个一元一次方程,最后求得方程组的解,这种解方程组的方法叫做代入消元法。
加减法
当方程中两个方程的某一未知数的系数相等或互为相反数时,把这两个方程的两边相加或相减来消去这个未知数,从而将二元一次方程化为一元一次方程,最后求得方程组的解,这种解方程组的方法叫做加减消元法。
换元法
解一些复杂的问题,常用到换元法,即对结构比较复杂的多项式,若把其中某些部分看成一个整体,用新字母代替(即换元),则能使复杂的问题简单化,明朗化。该方法在减少多项式项数,降低多项式结构复杂程度等方面能起到独到作用。
